Grouped, stacked and percent stacked barplot in ggplot2



This post explains how to build grouped, stacked and percent stacked barplots with R and ggplot2. It provides a reproducible example with code for each type.

Barchart section Data to Viz

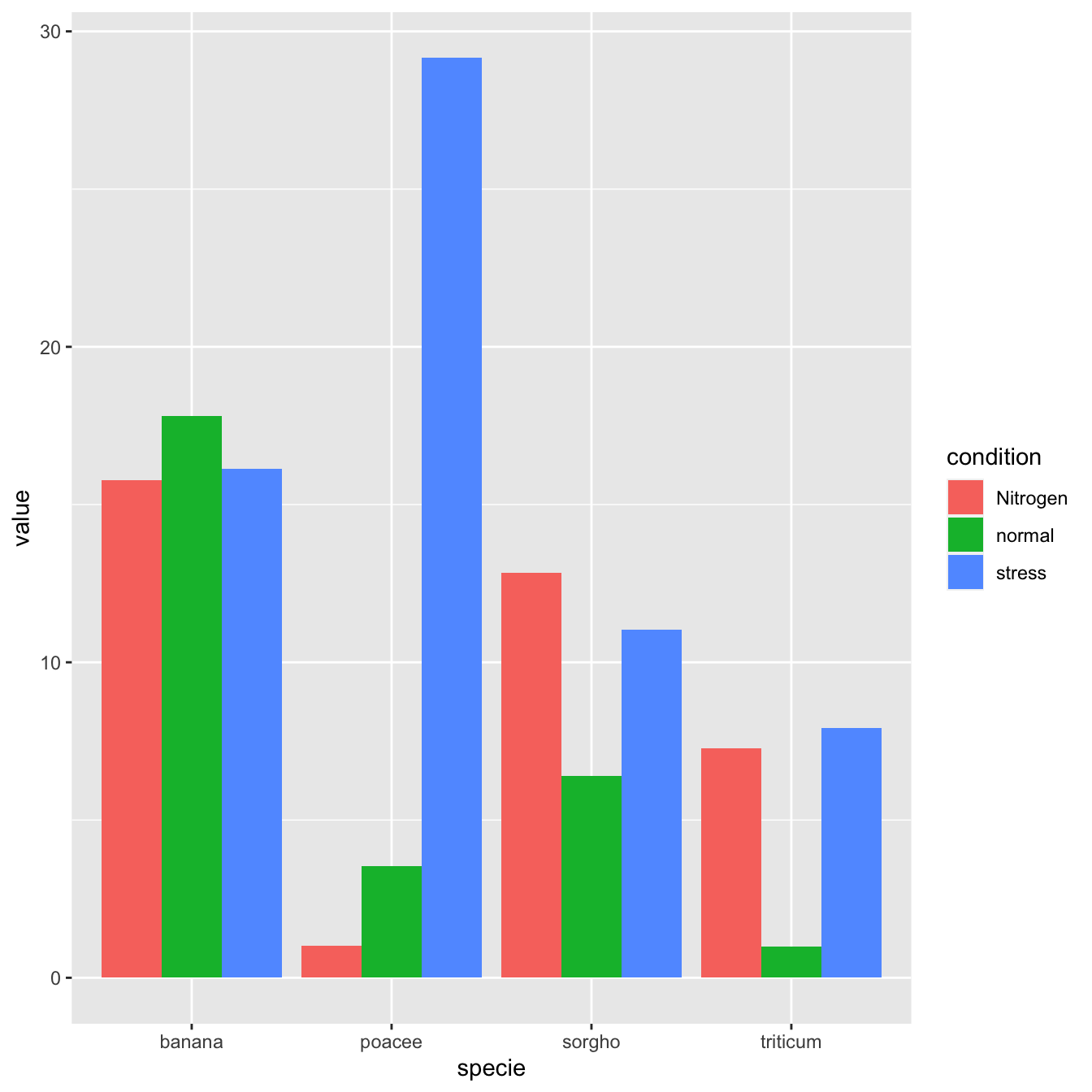
Grouped barchart


A grouped barplot display a numeric value for a set of entities split in groups and subgroups. Before trying to build one, check how to make a basic barplot with R and ggplot2.

A few explanation about the code below:

  • input dataset must provide 3 columns: the numeric value (value), and 2 categorical variables for the group (specie) and the subgroup (condition) levels.
  • in the aes() call, x is the group (specie), and the subgroup (condition) is given to the fill argument.
  • in the geom_bar() call, position="dodge" must be specified to have the bars one beside each other.

 # library
library(ggplot2)
 
# create a dataset
specie <- c(rep("sorgho" , 3) , rep("poacee" , 3) , rep("banana" , 3) , rep("triticum" , 3) )
condition <- rep(c("normal" , "stress" , "Nitrogen") , 4)
value <- abs(rnorm(12 , 0 , 15))
data <- data.frame(specie,condition,value)
 
# Grouped
ggplot(data, aes(fill=condition, y=value, x=specie)) + 
    geom_bar(position="dodge", stat="identity")

Stacked barchart


A stacked barplot is very similar to the grouped barplot above. The subgroups are just displayed on top of each other, not beside.

The only thing to change to get this figure is to switch the position argument to stack.

 # library
library(ggplot2)
 
# create a dataset
specie <- c(rep("sorgho" , 3) , rep("poacee" , 3) , rep("banana" , 3) , rep("triticum" , 3) )
condition <- rep(c("normal" , "stress" , "Nitrogen") , 4)
value <- abs(rnorm(12 , 0 , 15))
data <- data.frame(specie,condition,value)
 
# Stacked
ggplot(data, aes(fill=condition, y=value, x=specie)) + 
    geom_bar(position="stack", stat="identity")

Percent stacked barchart


Once more, there is not much to do to switch to a percent stacked barplot. Just switch to position="fill". Now, the percentage of each subgroup is represented, allowing to study the evolution of their proportion in the whole.

 # library
library(ggplot2)
 
# create a dataset
specie <- c(rep("sorgho" , 3) , rep("poacee" , 3) , rep("banana" , 3) , rep("triticum" , 3) )
condition <- rep(c("normal" , "stress" , "Nitrogen") , 4)
value <- abs(rnorm(12 , 0 , 15))
data <- data.frame(specie,condition,value)
 
# Stacked + percent
ggplot(data, aes(fill=condition, y=value, x=specie)) + 
    geom_bar(position="fill", stat="identity")

Grouped barchart customization


As usual, some customization are often necessary to make the chart look better and personnal. Let’s:

  • add a title
  • use a theme
  • change color palette. See more here.
  • customize axis titles

# library
library(ggplot2)
library(viridis)
library(hrbrthemes)

# create a dataset
specie <- c(rep("sorgho" , 3) , rep("poacee" , 3) , rep("banana" , 3) , rep("triticum" , 3) )
condition <- rep(c("normal" , "stress" , "Nitrogen") , 4)
value <- abs(rnorm(12 , 0 , 15))
data <- data.frame(specie,condition,value)
 
# Small multiple
ggplot(data, aes(fill=condition, y=value, x=specie)) + 
    geom_bar(position="stack", stat="identity") +
    scale_fill_viridis(discrete = T) +
    ggtitle("Studying 4 species..") +
    theme_ipsum() +
    xlab("")

Small multiple


Small multiple can be used as an alternative of stacking or grouping. It is straightforward to make thanks to the facet_wrap() function.

# library
library(ggplot2)
library(viridis)
library(hrbrthemes)

# create a dataset
specie <- c(rep("sorgho" , 3) , rep("poacee" , 3) , rep("banana" , 3) , rep("triticum" , 3) )
condition <- rep(c("normal" , "stress" , "Nitrogen") , 4)
value <- abs(rnorm(12 , 0 , 15))
data <- data.frame(specie,condition,value)
 
# Graph
ggplot(data, aes(fill=condition, y=value, x=condition)) + 
    geom_bar(position="dodge", stat="identity") +
    scale_fill_viridis(discrete = T, option = "E") +
    ggtitle("Studying 4 species..") +
    facet_wrap(~specie) +
    theme_ipsum() +
    theme(legend.position="none") +
    xlab("")

Related chart types


Barplot
Spider / Radar
Wordcloud
Parallel
Lollipop
Circular Barplot



❤️ 10 best R tricks ❤️

👋 After crafting hundreds of R charts over 12 years, I've distilled my top 10 tips and tricks. Receive them via email! One insight per day for the next 10 days! 🔥