How to annotate a plot in ggplot2



Once your chart is done, annotating it is a crucial step to make it more insightful. This post will guide you through the best practices using R and ggplot2.

ggplot2 section Why annotating?

Adding text with geom_text() or geom_label()


Text is the most common kind of annotation. It allows to give more information on the most important part of the chart.

Using ggplot2, 2 main functions are available for that kind of annotation:

Note that the annotate() function is a good alternative that can reduces the code length for simple cases.

# library
library(ggplot2)

# basic graph
p <- ggplot(mtcars, aes(x = wt, y = mpg)) + 
  geom_point()
 
# a data frame with all the annotation info
annotation <- data.frame(
   x = c(2,4.5),
   y = c(20,25),
   label = c("label 1", "label 2")
)

# Add text
p + geom_text(data=annotation, aes( x=x, y=y, label=label),                 , 
           color="orange", 
           size=7 , angle=45, fontface="bold" )

# Note: possible to shorten with annotate:
# p +
#  annotate("text", x = c(2,4.5), y = c(20,25), 
#           label = c("label 1", "label 2") , color="orange", 
#           size=7 , angle=45, fontface="bold")
# Right chart: using labels
p + geom_label(data=annotation, aes( x=x, y=y, label=label),                 , 
           color="orange", 
           size=7 , angle=45, fontface="bold" )

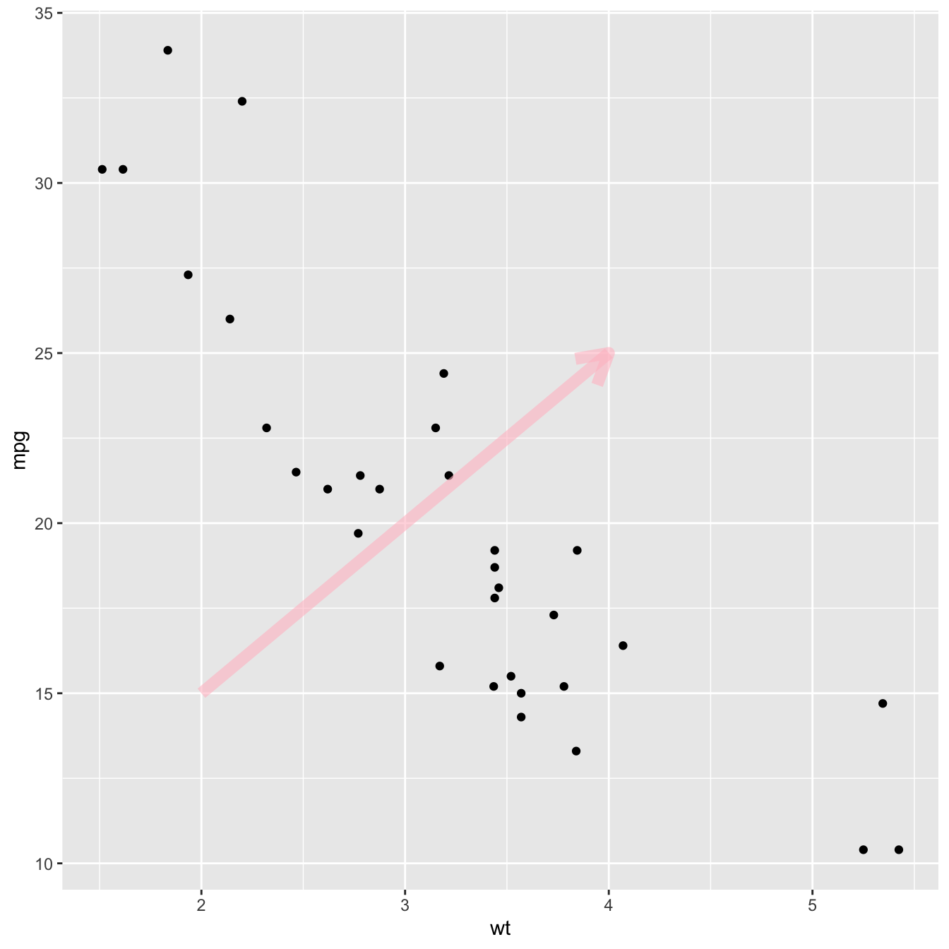
Add shapes with annotate()


The annotate() function allows to add all kind of shape on a ggplot2 chart. The first argument will control what kind is used: rect or segment for rectangle, segment or arrow.

# Add rectangles
p + annotate("rect", xmin=c(2,4), xmax=c(3,5), ymin=c(20,10) , ymax=c(30,20), alpha=0.2, color="blue", fill="blue")
# Add segments
p + annotate("segment", x = 1, xend = 3, y = 25, yend = 15, colour = "purple", size=3, alpha=0.6)
# Add arrow
p + annotate("segment", x = 2, xend = 4, y = 15, yend = 25, colour = "pink", size=3, alpha=0.6, arrow=arrow())

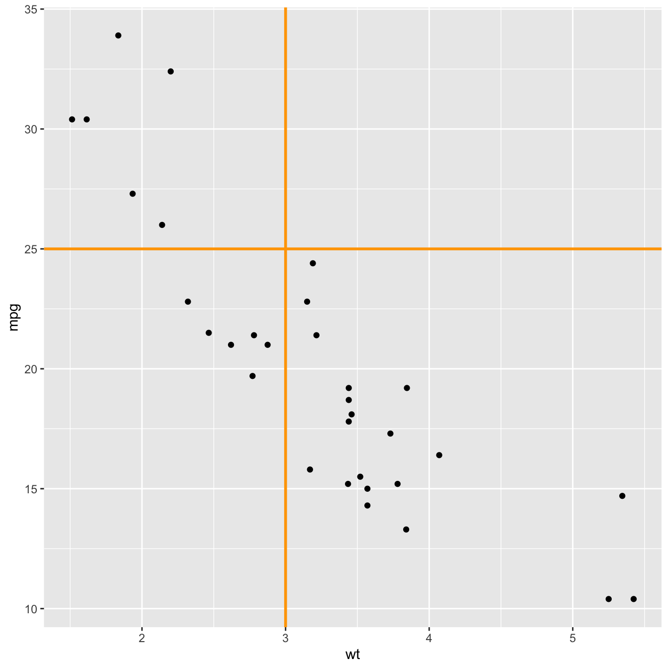
Add ablines with geom_hline() and geom_vline()


An abline is a segment that goes from one chart extremity to the other. ggplot2 offers the geom_hline() and geom_vline() functions that are dedicated to it.

p + 
  # horizontal
  geom_hline(yintercept=25, color="orange", size=1) + 
  # vertical
  geom_vline(xintercept=3, color="orange", size=1)

Add a point and a range with.. pointrange()


Last kind of annotation, add a dot and a segment directly with pointrange().

# Add point and range
p + annotate("pointrange", x = 3.5, y = 20, ymin = 12, ymax = 28,colour = "orange", size = 1.5, alpha=0.4)

Related chart types


Grouped and Stacked barplot
Treemap
Doughnut
Pie chart
Dendrogram
Circular packing



❤️ 10 best R tricks ❤️

👋 After crafting hundreds of R charts over 12 years, I've distilled my top 10 tips and tricks. Receive them via email! One insight per day for the next 10 days! 🔥